Восстановительная реакция Хека в синтезе 3,3-дизамещенных индолинов и оксиндолов
- Authors: 1
-
Affiliations:
- Самарский государственный технический университет
- Issue: Vol 1 (2024)
- Pages: 238-239
- Section: ЧАСТЬ I. Химия
- URL: https://rjsocmed.com/osnk-sr2024/article/view/632530
- ID: 632530
Cite item
Full Text
Abstract
Обоснование. Структурные фрагменты индолина и оксиндола часто встречаются в природных соединениях, в частности в алкалоидах, обладающих широким спектром биологической активности [1]. Хиральные оксиндолы, полученные в реакциях, катализируемых комплексами переходных металлов, могут служить субстратами для получения синтетических алкалоидов, содержащих индолиновый фрагмент [2, 3]. Обычно в таких синтезах используют комплексы палладия с дорогими и легко окисляющимися фосфиновыми и фосфин-оксазолиновыми лигандами. Более дешевой их альтернативой могут служить диаминовые лиганды.
Цель — синтез 3,3-дизамещенных оксиндолов и индолинов путем внутримолекулярной восстановительной реакции Хека и исследование возможности использования катализаторов на основе хиральных вицинальных диаминов в данной реакции.
Методы. Синтез исходных 2-фенилакриламидов и 2-фениаллиламидов и их циклизация в условиях восстановительной реакции Хека были проведены по методикам, описанным в литературе и разработанным в ходе исследования. Использованы общепринятые методы органического синтеза. Строение полученных соединений доказано методами спектроскопии ЯМР 1Н, 13С, ИК, масс-спектрометрии высокого разрешения. Энантиомерный состав индолинов и оксиндолов был установлен методом ВЭЖХ с хиральной стационарной фазой. Для оптически активных соединений определены удельные углы оптического вращения.
Результаты. Первоначально осуществляли синтез исходных 2-фенилакриламидов 5a-c реакцией ацилирования соответствующих орто-бромпроизводных 3a-c 2-фенил-акрилоилхлоридом 1. Чтобы получить амид с метильной группой при атоме азота 5a дополнительно вводили стадию алкилирования йодистым метилом. Синтез 2-фенил-аллиламидов 5d,e проводили по реакции нуклеофильного замещения α-бромметилстирола 2 соответствующими орто-бромпроизводными 3c,d в присутствии гидрида натрия (рис. 1).
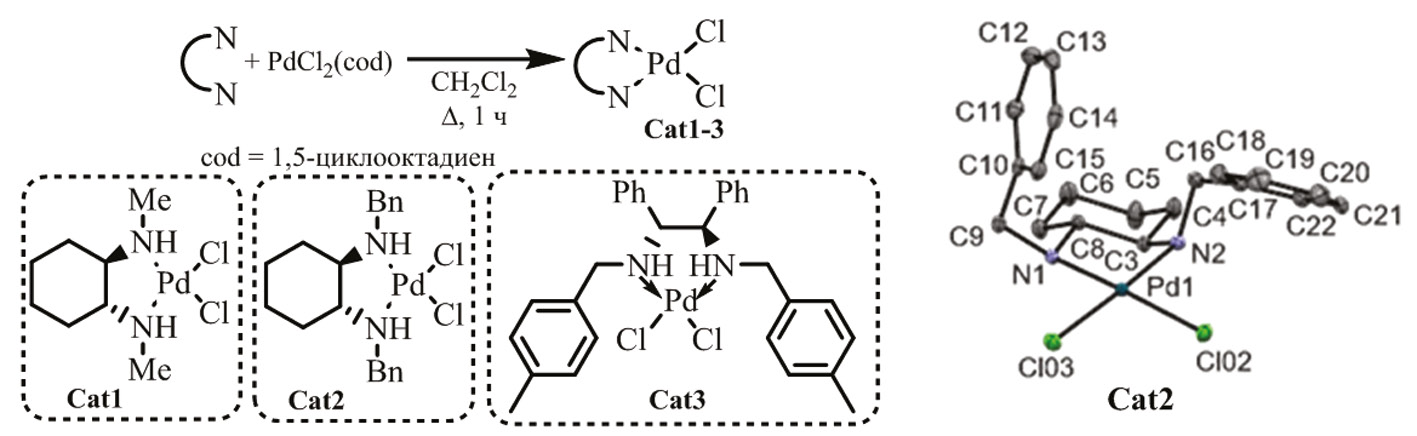
Также были синтезированы несколько комплексов палладия с хиральными вицинальными диаминами Cat1-3, по реакции замещения 1,5-циклооктадиена соответствующими лигандами. Для комплекса с (R,R)-N,N-дибензилциклогексан-1,2-диамином Cat2 получены данные РСА (рис. 2).
Рис. 1. Синтез исходных 2-фенилакриламидов и 2-фениаллиламидов
Рис. 2. Синтез комплексов палладия с хиральными вицинальными и диаминамии данные РСА для Cat2
Полученные 2-фенилакриламиды 5a-c подвергали циклизации в условиях внутримолекулярной восстановительной реакции Хека. Проводили скрининг различных катализаторов на основе палладия с моно- и бидентатными фосфор- и азотсодержащими лигандами. Каталитическая система Pd(OAc)2/PPh3 позволила получить соответствующие рацемические оксиндолы 6a-c с умеренными выходами. При использовании комплекса палладия с (R,R)-N,N-дибензилциклогексан-1,2-диамином Cat2 удалось получить оксиндолы 6b и 6c с более высокими выходами (50 и 47 %).
Полученные 2-фенилаллиламиды 5d,e также подвергали циклизации в условиях внутримолекулярной восстановительной реакции Хека. Фосфиновые лиганды не показали хорошей результативности в данной реакции, в то время как комплексы палладия с хиральными вицинальными диаминами Cat1–3 позволили получить индолин 6d с умеренными выходами (25–43 %). При катализе комплексом палладия с (R,R)-N,N-дибензилциклогексан-1,2-диамином Cat2 и использовании добавки 15-краун-5 удалось значительно увеличить выход индолинов 6d (66 %) и 6e (50 %). Оба продукта были получены в нерацемическом виде, с энантиомерными избытками 30–35 % (рис. 3).
Рис. 3. Циклизация в условиях восстановительной реакции Хека
Выводы. Осуществлен синтез 3,3-дизамещенных оксиндолов и индолинов внутримолекулярной восстановительной реакцией Хека. Впервые продемонстрирована возможность катализа восстановительной реакции Хека комплексами палладия с хиральными вицинальными диаминами с хорошими выходами, в некоторых случаях наблюдалась асимметрическая индукция.
Full Text
Обоснование. Структурные фрагменты индолина и оксиндола часто встречаются в природных соединениях, в частности в алкалоидах, обладающих широким спектром биологической активности [1]. Хиральные оксиндолы, полученные в реакциях, катализируемых комплексами переходных металлов, могут служить субстратами для получения синтетических алкалоидов, содержащих индолиновый фрагмент [2, 3]. Обычно в таких синтезах используют комплексы палладия с дорогими и легко окисляющимися фосфиновыми и фосфин-оксазолиновыми лигандами. Более дешевой их альтернативой могут служить диаминовые лиганды.
Цель — синтез 3,3-дизамещенных оксиндолов и индолинов путем внутримолекулярной восстановительной реакции Хека и исследование возможности использования катализаторов на основе хиральных вицинальных диаминов в данной реакции.
Методы. Синтез исходных 2-фенилакриламидов и 2-фениаллиламидов и их циклизация в условиях восстановительной реакции Хека были проведены по методикам, описанным в литературе и разработанным в ходе исследования. Использованы общепринятые методы органического синтеза. Строение полученных соединений доказано методами спектроскопии ЯМР 1Н, 13С, ИК, масс-спектрометрии высокого разрешения. Энантиомерный состав индолинов и оксиндолов был установлен методом ВЭЖХ с хиральной стационарной фазой. Для оптически активных соединений определены удельные углы оптического вращения.
Результаты. Первоначально осуществляли синтез исходных 2-фенилакриламидов 5a-c реакцией ацилирования соответствующих орто-бромпроизводных 3a-c 2-фенил-акрилоилхлоридом 1. Чтобы получить амид с метильной группой при атоме азота 5a дополнительно вводили стадию алкилирования йодистым метилом. Синтез 2-фенил-аллиламидов 5d,e проводили по реакции нуклеофильного замещения α-бромметилстирола 2 соответствующими орто-бромпроизводными 3c,d в присутствии гидрида натрия (рис. 1).
Также были синтезированы несколько комплексов палладия с хиральными вицинальными диаминами Cat1-3, по реакции замещения 1,5-циклооктадиена соответствующими лигандами. Для комплекса с (R,R)-N,N-дибензилциклогексан-1,2-диамином Cat2 получены данные РСА (рис. 2).
Рис. 1. Синтез исходных 2-фенилакриламидов и 2-фениаллиламидов
Рис. 2. Синтез комплексов палладия с хиральными вицинальными и диаминамии данные РСА для Cat2
Полученные 2-фенилакриламиды 5a-c подвергали циклизации в условиях внутримолекулярной восстановительной реакции Хека. Проводили скрининг различных катализаторов на основе палладия с моно- и бидентатными фосфор- и азотсодержащими лигандами. Каталитическая система Pd(OAc)2/PPh3 позволила получить соответствующие рацемические оксиндолы 6a-c с умеренными выходами. При использовании комплекса палладия с (R,R)-N,N-дибензилциклогексан-1,2-диамином Cat2 удалось получить оксиндолы 6b и 6c с более высокими выходами (50 и 47 %).
Полученные 2-фенилаллиламиды 5d,e также подвергали циклизации в условиях внутримолекулярной восстановительной реакции Хека. Фосфиновые лиганды не показали хорошей результативности в данной реакции, в то время как комплексы палладия с хиральными вицинальными диаминами Cat1–3 позволили получить индолин 6d с умеренными выходами (25–43 %). При катализе комплексом палладия с (R,R)-N,N-дибензилциклогексан-1,2-диамином Cat2 и использовании добавки 15-краун-5 удалось значительно увеличить выход индолинов 6d (66 %) и 6e (50 %). Оба продукта были получены в нерацемическом виде, с энантиомерными избытками 30–35 % (рис. 3).
Рис. 3. Циклизация в условиях восстановительной реакции Хека
Выводы. Осуществлен синтез 3,3-дизамещенных оксиндолов и индолинов внутримолекулярной восстановительной реакцией Хека. Впервые продемонстрирована возможность катализа восстановительной реакции Хека комплексами палладия с хиральными вицинальными диаминами с хорошими выходами, в некоторых случаях наблюдалась асимметрическая индукция.
About the authors
Самарский государственный технический университет
Author for correspondence.
Email: dshamsina2002@gmail.ru
магистрантка, группа 1-ХТ-104М, химико-технологический факультет
Russian Federation, СамараReferences
- Ahma R., Salim F. Oxindole alkaloids of uncaria (rubiaceae, subfamily cinchonoideae): A review on its structure, properties, and bioactivities // Studies in Natural Products Chemistry. 2015. Vol. 45, N 12. P. 485–522. doi: 10.1016/B978-0-444-63473-3.00012-5
- Kong W., Wang Q., Zhu J. Palladium-catalyzed enantioselective domino heck/intermolecular c–h bond functionalization: development and application to the synthesis of (+)-esermethole // J Am Chem Soc. 2015. Vol. 137, N 51. P. 16028–16031. doi: 10.1021/jacs.5b11625
- Chen M., Wang X., Yang P., et al. Palladium-catalyzed enantioselective heck carbonylation with a monodentate phosphoramidite ligand: asymmetric synthesis of (+)-physostigmine, (+)- physovenine, and (+)-folicanthine // Angew Chem Int Ed. 2020. Vol. 59, N 29. P. 12199–12205. doi: 10.1002/anie.202003288
Supplementary files





